Công thức tính vận tốc trung bình
Vận tốc trung bình là một đại lượng vật lý dùng để chỉ mức độ thay đổi vị trí của một đối tượng trong một khoảng thời gian nhất định. Nó được tính bằng tổng quãng đường mà đối tượng di chuyển chia cho tổng thời gian mà đối tượng đó di chuyển.
Vận tốc trung bình không phân biệt về hướng đi và chỉ quan tâm đến quãng đường và thời gian. Nó khác với vận tốc tức thời, vốn chỉ ra tốc độ của đối tượng tại một thời điểm cụ thể trong quá trình di chuyển...
Vận tốc trung bình giúp đánh giá mức độ di chuyển tổng thể của đối tượng trong một quãng thời gian, nhưng không thể cho biết rõ về sự thay đổi vận tốc trong suốt quá trình.
Học sinh trong giờ
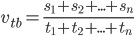
Trong đó:
Vtb: Vận tốc trung bình
s1, s2, s3… : Quãng đường cần di chuyển.
t1, t2, t3: Thời gian di chuyển hết quãng đường s1, s2, s3… tương xứng
Để xác định t, bạn áp dụng công thức sau:
Công thức tính vận tốc trung bình có nhiều ứng dụng trong thực tế, giúp chúng ta dễ dàng đo lường và hiểu được sự di chuyển của các đối tượng trong nhiều tình huống khác nhau. Dưới đây là một số ứng dụng phổ biến của công thức tính vận tốc:
Dự đoán thời gian di chuyển
Khi bạn biết quãng đường cần đi và vận tốc trung bình, bạn có thể tính toán được thời gian cần thiết để di chuyển từ điểm A đến điểm B. Ví dụ, nếu bạn biết vận tốc trung bình của một phương tiện là 60 km/h và quãng đường cần đi là 120 km, bạn có thể tính được thời gian cần để hoàn thành hành trình.
Vận tốc trung bình giúp so sánh và đánh giá hiệu quả của các phương tiện giao thông. Ví dụ, bạn có thể so sánh vận tốc trung bình của một chiếc xe ô tô và xe máy để biết phương tiện nào di chuyển nhanh hơn trong cùng một khoảng thời gian hoặc quãng đường.

Tính quãng đường di chuyển
Tính toán chi phí vận chuyển
Vận tốc trung bình là yếu tố quan trọng trong ngành vận tải để tính toán chi phí vận chuyển. Nếu bạn biết vận tốc trung bình của phương tiện và thời gian vận hành, bạn có thể ước tính được chi phí nhiên liệu, thời gian lái xe, và chi phí khác trong suốt chuyến đi.
Xác định tốc độ cho các hoạt động thể thao
Trong các môn thể thao như chạy marathon, đua xe đạp, hay bơi lội, vận tốc trung bình là yếu tố quan trọng giúp vận động viên theo dõi tiến độ của mình
Vận tốc trung bình giúp họ đánh giá hiệu quả và điều chỉnh chiến lược thi đấu.
Nhìn chung, công thức tính vận tốc không chỉ là một công cụ hữu ích trong các bài toán vật lý mà còn có ứng dụng rộng rãi trong đời sống hàng ngày, giúp quản lý và tối ưu hóa nhiều loại hoạt động liên quan đến di chuyển và vận chuyển.
Kiểm tra đơn vị đo
Khi tính vận tốc trung bình, bạn phải đảm bảo rằng quãng đường và thời gian có đơn vị đồng nhất. Nếu quãng đường tính bằng km, thì thời gian cũng cần phải tính bằng giờ, để không bị sai lệch kết quả. Việc không đồng nhất đơn vị sẽ khiến bạn tính toán sai.
Ứng dụng trong lĩnh vực công nghiệp
Cộng tất cả thời gian di chuyển
Để tính vận tốc trung bình chính xác, bạn cần cộng tất cả thời gian di chuyển, kể cả thời gian dừng lại (nếu có). Thời gian dừng lại là yếu tố quan trọng để đảm bảo kết quả tính toán không bị thiếu sót.
Vận tốc trung bình không phản ánh thay đổi vận tốc
Công thức tính vận tốc trung bình chỉ cho biết mức độ di chuyển tổng thể của đối tượng trong suốt hành trình, mà không phản ánh sự thay đổi về tốc độ trong quá trình di chuyển. Nếu bạn cần biết tốc độ tại các thời điểm khác nhau, bạn cần phải tính vận tốc tức thời.
Tính vận tốc trung bình cho nhiều đoạn đường
Khi di chuyển qua nhiều đoạn đường với các vận tốc khác nhau, bạn vẫn có thể áp dụng công thức tính vận tốc trung bình bằng cách cộng tất cả quãng đường lại và chia cho tổng thời gian di chuyển. Tuy nhiên, công thức này chỉ cung cấp giá trị tổng quát, không thể cho biết chi tiết vận tốc tại từng đoạn đường.
Không phản ánh yếu tố ngoại cảnh
Khi tính vận tốc trung bình, các yếu tố như giao thông, địa hình, hay trạng thái của phương tiện không được tính đến. Vì vậy, vận tốc trung bình chỉ là một chỉ số tổng quát, không thể phản ánh các yếu tố chi tiết trong hành trình.
Cần lưu ý khi tính vận tốc tức thời
Nếu bạn muốn tính vận tốc tại một thời điểm cụ thể, cần lưu ý rằng vận tốc trung bình không thể áp dụng cho các trường hợp thay đổi vận tốc đột ngột. Trong những trường hợp này, bạn cần sử dụng công thức tính vận tốc tức thời thay vì vận tốc trung bình.
>> Tham khảo: Sửa máy giặt electrolux tại thanh xuân